DeepSeek-R1 vs. OpenAI’s o1: The Open-Source Disruptor Raising the Bar
Author

Subject Matter Expert

Date

Book a call
Artificial intelligence is not just about flashy demos or futuristic headlines anymore—it has become a powerful driver of business value. And today, there’s a new player in town that’s turning heads: DeepSeek-R1. Created by Chinese AI startup DeepSeek, DeepSeek-R1 is making waves for outperforming OpenAI’s o1 model in key benchmarks while offering a transparent, open-source approach. It is democratizing the use of AI.
If you’re a Business Executive, CTO, or Tech Enthusiast planning to or have started exploring game-changing AI usage that’s big on innovation without the black-box baggage, you’re in the right place.
In this 5-minute read, we’ll explore:
- What sets DeepSeek-R1 apart from its competitors
- Why open-source AI models like DeepSeek-R1 might be a slam dunk for your enterprise
- Cost and scalability advantages you can’t ignore
- How transparency fosters trust and better decision-making
- The road ahead: Challenges, adoption strategies, and how to capitalize on this emerging tech
Why DeepSeek-R1 is More than Just Another AI Model
DeepSeek-R1 is not your standard AI that generates answers without giving you an explanation into how it arrived at the conclusions. Traditional AI systems rely on massive amounts of data and intricate neural networks. This makes Traditional AI models, becoming opaque “black boxes” that offer minimal insight into their internal reasoning. In contrast, DeepSeek-R1 focuses on transparency—giving developers and decision-makers a clear view of its logical steps,enabling better validation.
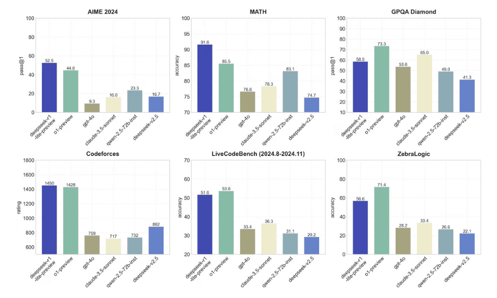
What’s jaw-dropping is that DeepSeek-R1 not only talks the talk with transparency, but it also walks the walk in terms of performance. DeepSeek-R1 surpasses OpenAI’s o1 in critical benchmarks—including the math-heavy AIME, the MATH-500 dataset, and coding challenges on Codeforces. Here’s a quick look at some stats:
- AIME (American Invitational Mathematics Examination):
- DeepSeek-R1: Pass@1: 52.5%
- OpenAI o1: Pass@1: 44.6%
- Codeforces:
- DeepSeek-R1: 1450
OpenAI o1: 1428

DeepSeek-R1 is Open Source; It is a Game-Changing Recipe for Business Gains
While DeepSeek-R1’s top-of-class performance is a huge draw, its open-source nature might be more significant for enterprises. Here’s why:
I. Data Privacy at Scale
In an era where data privacy is not just a buzzword but a legal and ethical necessity, open-source AI solutions, such as DeepSeek-R1, offer something proprietary platforms often cannot: full control over your data and model deployment. With DeepSeek-R1 being released under the MIT license, your organization can:
- Deploy the model on-premises or in your private cloud environment.
- Customize privacy and security protocols without worrying about vendor lock-in.
- Inspect (and even modify) the source code to ensure compliance with data protection regulations like GDPR or CCPA.
This level of control translates into more trust, both from stakeholders and customers alike.
II. Lowering the Cost of Innovation
Being open-source, DeepSeek-R1 eliminates hefty licensing fees and paywalls that can choke a company’s AI budget. Instead, you can allocate funds to building data pipelines, refining model hyperparameters, or hiring top-tier machine learning engineers. In short, open source = more money for meaningful innovation. Gone are the days when AI exploration was the domain of corporations with deep pockets.
III. Scalability Without Vendor Limitations
Once you have the DeepSeek-R1code, you can scale it as required. Whether your enterprise needs to crunch small sets of specialized data or ramp up to petabytes of real-time analytics, DeepSeek-R1’s flexible framework works in tandem with a wide range of compute environments. Coupled with Mixture of Experts (MoE) architecture, the model activates only the necessary parameters to handle tasks, reducing computational overhead and letting you optimize for speed and efficiency.
Tech Innovations Powering DeepSeek-R1
Under the hood DeepSeek-R1 is packing powerful innovation designed for one purpose — the opening of AI power to the masses. They are as follows:
- Transparent Reasoning Pathways
DeepSeek-R1’s architecture is designed to show its work. Instead of a single monolithic neural network, it breaks tasks down into smaller, logical steps. This not only improves interpretability but can also aid in debugging and compliance audits. - Reinforcement Learning for Reasoning
According to Business Insider, DeepSeek-R1 relies heavily on reinforcement learning. The model learns through trial and error, adjusting its strategy based on outcomes—much like how a human might refine problem-solving methods. The result? A robust skill set that is not overly dependent on labeled data. - Mixture of Experts (MoE) Architecture
MoE-based models can selectively activate different “expert” sub-networks depending on the task. This leads to smarter resource allocation and ensures the model runs efficiently, even when dealing with complex queries. DeepSeek-R1 uses this to remain nimble while scaling to enterprise-grade workloads. - Innovative Training sans Advanced Hardware
U.S. restrictions on cutting-edge semiconductor exports have led DeepSeek to explore creative training solutions (as reported by the Wall Street Journal). The outcome? They developed an approach that doesn’t rely on top-of-the-line GPUs—a boon for cost-conscious organizations that can’t shell out for specialized hardware.
Business Implications: Why It’s Time to Pay Attention
For tech leaders and C-level executives, the success of DeepSeek-R1 suggests a sweeping change in how AI is being developed and deployed globally.
Competitive Pressure and Innovation Will Become Truly Global
DeepSeek-R1’s rise signals that innovation is no longer exclusive to Silicon Valley anymore. As other regions ramp up their AI capabilities, businesses are forced to think globally and act fast. Leveraging an open-source model like DeepSeek-R1 now might give you a head start against slower-moving competitors.
Maximizing Value Under Constraints
With hardware limitations, budget pressures, and regulatory hurdles, the fact that DeepSeek-R1 has still outperformed leading models is proof that constraint-driven innovation is here to stay. Enterprises can take a page from DeepSeek’s playbook: look for creative workarounds and alternative methods to achieve world-class AI without emptying the corporate coffers.
Open Source Collaboration Potential
Open-source communities can create massive synergy in problem-solving and accelerated development. By adopting DeepSeek-R1, your tech teams can also contribute to the model’s evolution. Imagine a scenario where your unique enterprise challenges directly shape the AI’s improvements, all while the global community refines the core. That’s collaborative magic.

Making It Happen: Practical Steps for Enterprise Adoption
The correct implementation of DeepSeek-R1 is going to be essential for making the most out of its capabilities. There needs to be a clear roadmap of implementation. Otherwise, it will be a Hail Mary attempt that might backfire. :
Here is a clear blueprint that can be used for your enterprise’s implementation of AI innovation such as DeepSeek-R1:
- Pilot Program
- Start small with a proof-of-concept (POC) focusing on a critical business challenge.
- Involve key stakeholders early—especially in data privacy, compliance, and IT teams.
- Infrastructure Assessment
- Evaluate whether your current servers or cloud setup can handle reinforcement learning workloads and MoE-based architecture.
- If you aim to keep data on-prem, consider investing in a private cloud or HPC cluster.
- Skill-Up Your Team
- Offer targeted training sessions or workshops on implementing and fine-tuning open-source AI models.
- Encourage cross-functional collaboration: data scientists, dev ops, and line-of-business managers should all be aligned.
- Customize for Compliance
- Adapt the open-source code to meet GDPR, HIPAA, or any industry-specific regulatory requirements.
- Conduct regular security audits and stress-test your AI pipeline for vulnerabilities.
- Iterative Improvement and Scalability
- Leverage the open-source community and your internal feedback loops to refine, retrain, or scale your DeepSeek-R1 instances.
Document your learnings to continually optimize cost, performance, and data governance.
Final Thoughts
From transparent reasoning to cost-effective scaling, DeepSeek-R1 is rewriting the narrative on what is possible with AI. It challenges the established dominance of well-known models by delivering superior performance on challenging benchmarks—and by offering an open-source foundation that empowers enterprises to take charge of their data, budget, and innovation strategy.
As the AI landscape continues to evolve, the story of DeepSeek-R1 serves as a powerful reminder: being resourceful, transparent, and collaborative can sometimes outshine deep pockets and proprietary approaches. For business leaders ready to future-proof their AI investments, diving into the open-source model wave—led by DeepSeek-R1—could be the strategic move you’ve been waiting for.
Ready to Explore Further?
If you’re intrigued by what DeepSeek-R1 can do for your business, now is the perfect time to dive deeper. Explore the open-source repository, engage with our development team at https://geekyants.com/, and set up a small-scale pilot to see firsthand how DeepSeek-R1 can transform your operations.
Dive deep into our research and insights. In our articles and blogs, we explore topics on design, how it relates to development, and impact of various trends to businesses.